请大家看这么明显,能够确定真凶的指纹,临汾市公安局为何能说没有鉴
定价值呢?我们应当记得涉及陈建阳案件的出租车吧,事隔多年、经数百
次洗刷的车门,都能鉴定出凶手的指纹,难道这么明显的指纹痕迹没有鉴
定价值吗?如果能在监督机关监督下,对杀人现场的血指纹进行鉴定,真
凶马上就会浮出水面,也能通过纠正冤假错案的方法,洗清原担任过技术
侦查鉴定多年的警察董韵;担任过新闻媒体记者李文浩;以及李慧的清白。


不要用 “多口供、零证据”判李文浩死刑,不要抗拒 习近平总书记、李克强总理司法改革治国方略。
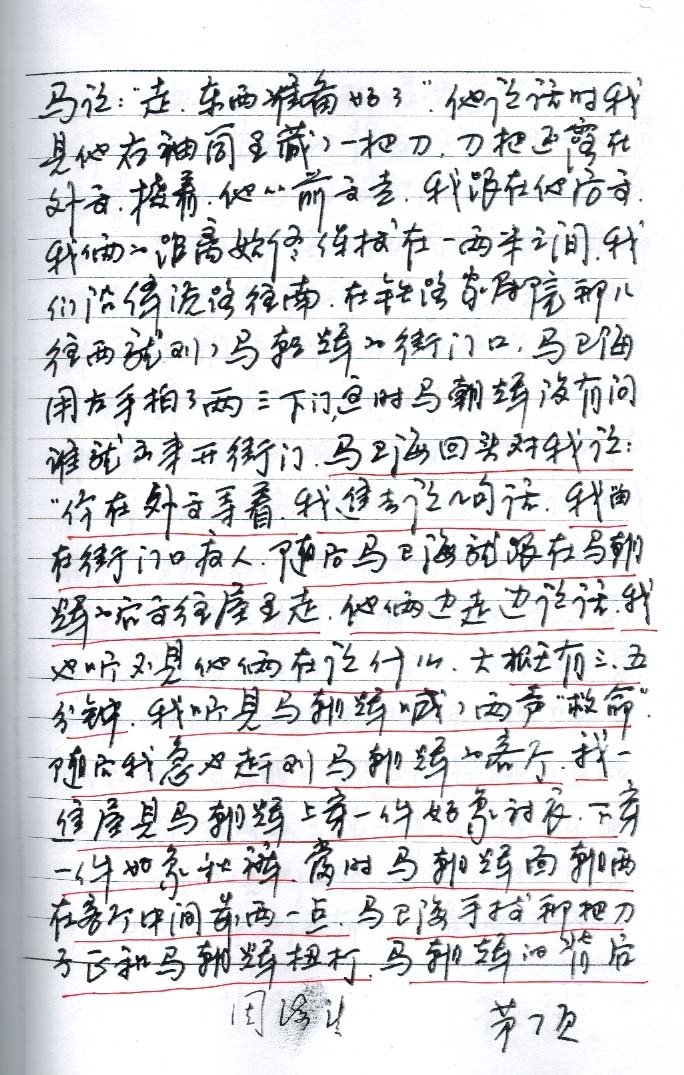
蔺文财按照习总书记公平正义改革方略负责任的说,临汾市中级人民法院是用零证据判李文浩死刑的,至于是不是草菅人命,就要从临汾中院(2012)临刑初字第17号刑事判决引用的三十七份证据解析了,可能不难发现临汾中院以零证据方式判决李文浩犯故意杀人罪的答案。
.jpg)
就凭临汾市公安局的这份“结案报告”中“专案组认为,本案现有证据虽然不够
确凿充分,但是足以证明犯罪嫌疑人李文浩、李慧杀害马朝辉事实存在。即便经过努
力最终找不到凶器,本案也可以移送人民检察院审查起诉“。
这么明显故意制造冤假错案、包庇犯罪真凶的渎职犯罪行为,也能在依法治国改
革中存续14年之久,真的让人不可理解。
.jpg)
第一组证据,证实马朝晖遭杀害的地点,死因及案发现场情况。
(1)现场勘验笔录及照片,能证明马朝晖被杀害的现场情况,不能证明系李文浩所为,没有涉及到李文浩是否杀人,不属于李文浩杀人与否的证据范围。(2)翼城县公安局尸检报告,能证明杀害马朝晖的手段极其残忍,但不能证明系李文浩所为,不属于李文浩杀人与否的证据范围。(3)临汾市公安局的尸检报告,能证明杀害马朝晖的手段极其残忍,但不能证明系李文浩所为,没有涉及到李文浩是否杀人无关,不属于李文浩杀人与否的证据范围。
第二组证据,证明案发时间及马朝晖家反映的异常情况。
(4)王玉林证言,说与马聊天,没有涉及到李文浩,与李文浩是否杀人无关,不属于李文浩杀人与否的证据范围。(5)李月兰证言,说听到马朝晖家一男的叫喊声“咋了”,还听见王建设家的狗叫,回到家看表10点刚过,没有涉及到李文浩,与李文浩是否杀人无关,不属于李文浩杀人与否的证据范围。(6)李娟证言,说马朝晖家有男女说话声,像是吵嘴,回房间看表时间为9:45分,没有涉及到李文浩,与李文浩是否杀人无关,不属于李文浩杀人与否的证据范围。(7)杜桂莲证言,说案发后听李娟说当晚他听到有人吵架及女人的声音,没有涉及到李文浩,与李文浩是否杀人无关,不属于李文浩杀人与否的证据范围。(8)都芸证言,说的和杜玉莲一致,没有涉及到李文浩,与李文浩是否杀人无关,不属于李文浩杀人与否的证据范围。(9)马朝新证言,说11点50左右在马朝晖家看见李慧和董昀在院子里站着,没有涉及到李文浩,与李文浩是否杀人无关,不属于李文浩杀人与否的证据范围。
第三组证据,证明案发期间李慧穿的衣服、裤子和鞋。
(10)胡克文证言,说李慧穿的什么衣服裤子和鞋,没有涉及到李文浩是否杀人,与李文浩是否杀人无关,不属于李文浩杀人与否的证据范围。(11)李文浩证言,说李慧穿衣服、裤子和鞋。没有涉及到李文浩,与李文浩是否杀人无关,不属于李文浩杀人杀人与否的证据范围。(12)张永红证言,说李慧当天穿的衣服、裤子和鞋。没有涉及到李文浩,与李文浩是否杀人无关,不属于李文浩杀人与否的证据范围。
第四组证据,证实案发时李慧就在现场。
(13)临汾市公安局(2005)64号检验报告,送检李慧的鞋,没有涉及到李文浩,与李文浩是否杀人无关,不属于李文浩杀人与否的证据范围。(14)山西省公安厅(2005)387号鉴定书,送检李慧的鞋,没有涉及到李文浩,与李文浩是否杀人无关,不属于李文浩杀人与否的证据范围。(15)山西省公安厅(2006)002号检验意见书,送检李慧的鞋,没有涉及到李文浩,与李文浩是否杀人无关,不属于李文浩杀人与否的证据范围。(16)李慧供述,没有涉及到李文浩,与李文浩是否存在杀人无关,不属于李文浩杀人与否的证据范围。
第五组证据,证明案发起因,以及李文浩、李慧杀害马朝晖,被告人董昀帮助伪造现场。
(17)被告人李文浩供述,根据《刑事诉讼法》第五十三条规定,没有证据加以证明的口供,不能作为杀人案的定案依据,加之,几份内容自相矛盾(见几份自相矛盾的讯问笔录),不属于李文浩是否杀人的证据范围。(18)李慧供述没有涉及到李文浩是否杀人的口供,根据《刑事诉讼法》第五十三条规定,没有证据加以证明的口供,不能作为杀人案的定案依据,加之,几份内容自相矛盾(见几份自相矛盾的讯问笔录),不属于李文浩是否杀人的证据范围。(19)董昀的供述,没有涉及到李文浩是否杀人的口供,根据《刑事诉讼法》第五十三条规定,没有证据加以证明的口供,不能作为杀人案的定案依据,加之,几份内容自相矛盾(见几份自相矛盾的讯问笔录),不属于李文浩是否杀人的证据范围。(20)办案民警朱平、崔伟伟、李晓强、杨庆生、高蛟生等五人证言,属于自证范围,不能证实李文浩、李慧、董昀是否被刑讯逼供,没有涉及李文浩是否杀人,与李文浩是否杀人无直接关系,不属于李文浩杀人与否的证据范围。
第六组证据,证实李文浩、李慧供述的作案经过,凶器情况。
(21)吴超证言,案发当天与妻子胡克文、杨李斌、高兴亮等人安装暖气,没有涉及到李文浩,与李文浩是否杀人无关,不属于李文浩杀人与否的证据范围。(22)杨李斌、高兴亮的证言,证明内容同上,没有涉及到李文浩,与李文浩是否杀人无关,不属于李文浩杀人与否的证据范围。(23)宋镪、彭志华、赵晓华三个人证言,证实董昀当晚去过太阳磁场酒吧,没有涉及到李文浩,与李文浩是否杀人无关,不属于李文浩杀人与否的证据范围。(24)马晓玲证言,证明10月1日在李慧家一、二楼打扫过卫生,同时证明刀具情况,没有涉及到李文浩,与李文浩是否杀人无关,不属于李文浩杀人与否的证据范围。(25)临汾市公安局(2006)临公足迹鉴字第01号鉴定书,证实送检的鞋印是董昀所留,没有涉及到李文浩,与李文浩是否杀人无关,不属于李文浩杀人与否的证据范围。
第七组证据,证实李文浩、李慧、董昀具有作案时间。
(26)证人李文涛的证言,证明当晚9点30分李文浩、李慧离开他家,没有涉及到李文浩,与李文浩是否杀人无关,不属于李文浩杀人与否的证据范围。(27)李文浩手机通话清单,证实李文浩10月2日21点37分-23点58分间无通话记录。这份证言与李文浩通话记录记载的10月2日21点37分零2秒通话80秒的事实不符,不是李文浩是否杀人的直接证据,不属于李文浩杀人与否的证据范围。(28)李慧手机通话清单记载10月2日21点28分-23点58分之间无电话,不属于李文浩的证据范围。(29)李慧家座机通话清单,证实主机9月30日之后通话记录不存在(并没有提供李慧的电话记录单),并未涉及到李文浩是否杀人问题,不属于李文浩杀人与否的证据范围。
第八组证据,证明案发后李慧、李文浩的异常表现。
(30)邓里证言,证明当天下雨,李慧衣服、鞋特别干净,没有涉及到李文浩,与李文浩是否杀人无关,不属于李文浩杀人与否的证据范围。(31)李深德证言,证明10月2日深夜李文浩回家说,李慧那边出事了,其浑身发抖,还说害怕(害怕有多种原因)。该证言也没有涉及到李文浩是否杀人,不属于李文浩的证据范围。(32)周青兰证言同李深德证言一致,没有涉及李文浩是否存在杀人行为,不属于李文浩杀人与否的证据范围。
第九组证据,证实现场曾发生并提取毛发,在侦查过程中毛发及相关照片丢失。
(33)张义、贾红生、吕龙、苏诗强证言,证实勘察现场及对尸体检验时,从马朝晖左手提取三根长度分别为10-20厘米、6-7厘米、4-5厘米的头发,没有涉及到李文浩,与李文浩是否杀人无关,不属于李文浩杀人与否的证据范围。(34)常小林供述,证实勘察现场及尸体提取的毛发、相关照片及底片在技术科保存期间丢失,没有涉及李文浩是否杀人,与李文浩是否杀人无关,不属于李文浩杀人与否的证据范围。
第十组证据,证实李翠仙的犯罪事实。
(35)张永红证言,证实10月2日晚上饭后李文浩与李慧离开,24时李文浩打电话称马朝晖出事了,没有涉及李文浩是否杀人,与李文浩是否杀人无关,不属于李文浩杀人与否的证据范围。(36)李翠仙供述,证实10月3日上午在刑警队录完口供后遇到张永红,没有涉及到李文浩是否杀人,与李文浩是否杀人无关,不属于李文浩杀人与否的证据范围。
第十一组证据,证实李文浩、李慧、董昀、李翠仙及马朝晖的身份情况。
(37)常住人口登记表、户籍证明,均未涉及到李文浩是否杀人,不属于李文浩的证据范围。
以上三十七份鉴定结论和证人证言,均未涉及到李文浩是否杀害马朝晖的事实,与李文浩是否杀害马朝晖无关,不属于李文浩故意杀人与否的证据范围。
所以通过临汾市中级人民法院使用的证据来看,足以充分证明李文浩是否犯罪为零证据、多口供。
各位网友春节好:研究李文浩杀人10年悬案不用懂法,他不是法律问题,我们认真核对一下判决书引用的37份证据内容就行。这37份证据没有一份证明李文浩杀人,说明李文浩杀人是零证据。零证据是绝不能判处被告人李文浩死刑的。
零口供可以判处被告人死刑。是因为有足够的证据证实被告人杀人,可被告人抵赖,不配合公安机关调查,不能做出真实的供述,人民法院应当根据证据定罪量刑,惩治犯罪。
另外。本案还有另一个怪圈,以前临汾中院两次一审采信的是临汾市公安局鉴定,对杀人现场血脚印结论,认为血脚印是李文浩所留(唯一证据),规避了李文浩申请公安部的重新鉴定结论。
这次临汾中院重审中,对这临汾市公安局的鉴定,公安部重新鉴定内容均未采信(零证据),奇怪的是也能判处李文浩死刑。

























核对一下自相矛盾讯问笔录的内容吧
李文浩被公安机关在绿园度假村“羁押”讯问10天,2006年2月23日之前没有认罪表现,所以辩护人没有引用。
李文浩2006年2月24日17时45分至2006年2月24日18时25分向公安机关供述“李慧开车到了她家门口,李慧按了几下车喇叭,然后马朝晖就出来开门”(见该笔录第2页上端)。
李文浩2006年3月3日19时55分至2006年3月3日23时50分向公安机关供述“我(李文浩)将车停在她家门口,按了两声喇叭”(见该笔录第3页中端)。
李文浩2006年3月6日22时10分至2006年3月6日23时50分向公安机关供述“我将车停在降源路东侧正对着她家北侧出来的路口,我俩走到她家大门口”(见该笔录第2页下端)。
大家认真核对一下,究竟是李文浩开车,还是李慧开车(自相矛盾)。
李文浩2006年2月24日17时45分至2006年2月24日18时25分向公安机关供述“当我走到快到大门时,马朝晖从家里追了出来,他左手还拿了一把刀”(笔录第2、3页上、下端)。
李文浩2006年3月3日19时55分至2006年3月3日23时50分向公安机关供述“为了以防不测,到了十字路口北侧的县信用联社的对面老城关供销社买了一把水果刀装入裤袋(笔录第2页中端)。另供述:“说着在李慧背部推了一把,我从口袋里掏出刀来对着他的背部靠下部位捅了两刀”(笔录第3页下端)。
李文浩2006年3月6日12时10分至2006年3月6日19时10分向公安机关供述“李慧跑进院子南房(厨房)拿出一把刀”(笔录第3页中端)。
我们核对一下李文浩向公安机关交代三把刀,究竟时哪把刀杀害了马朝晖呢?
李文浩2006年2月24日17时45分至2006年2月24日18时25分向公安机关供述““还朝他的会阴部捅了几刀,朝他脖子上砍了几刀”(笔录第3页下端)。
李文浩2006年3月3日19时55分至2006年3月3日23时50分向公安机关供述“我从口袋里掏出刀来对着他的背部靠下部位捅了两刀,马朝晖哎哟了一声”(笔录第3页下端)。另供述,“拿刀在他的脖子上猛砍,直到脖子快被剁下,又在其会阴部扎了几刀”(笔录第4页中端)。
李文浩2006年3月6日22时10分至2006年3月6日19时10分向公安机关供述“李慧蹲下用刀狠扎其会阴部,又猛砍脖子”(笔录第3页下端)。
李慧2006年3月5日15时01分至2006年3月5日17时15分向公安机关供述“问:马朝晖在客厅抽动时,你是怎么砍的马朝晖?答:我当时比较害怕,看到马朝晖没死,就胡乱砍,至于是砍的还是扎的我也记不清了(笔录第2页中端)。问:马朝晖的脖子上面刀伤是怎么砍的?答:我记得我和李文浩向楼梯抬马朝晖时脖子好像没刀伤(笔录第4页中端)。
法官同志,如果你们能把这几种口供统一起来,那就是胡编乱造。
根据以上多次口供存在自相矛盾之处,足以说明本案口供缺少排他性、唯一性,不能作为杀人案件的定案依据使用。可临汾市中级人民法院在判决书中,第17、18份所谓的证据,恰恰是使用了以上自相矛盾的口供,说明没有证据,是零证据。
如果临汾市中级人民法院不使用这两份自相矛盾的口供,更是对没有一份值得考虑李文浩杀人的证据了,真是零证据,零证判李文浩死刑,严重违反《刑事诉讼法》第五十三条规定,对一切案件的判处都要重证据,重调查研究,不轻信口供。只有被告人供述,没有其他证据的,不能认定被告人有罪和处以刑罚;没有被告人供述,证据确实、充分的,可以认定被告人有罪和处以刑罚。
证据确实、充分,应当符合以下条件:
(一)定罪量刑的事实都有证据证明;
(二)据以定案的证据均经法定程序查证属实;
(三)综合全案证据,对所认定事实已排除合理怀疑。。


















不要用 “多口供、零证据”判李文浩死刑,不要抗拒 习近平总书记、李克强总理司法改革治国方略。
蔺文财按照习总书记公平正义改革方略负责任的说,临汾市中级人民法院是用零证据判李文浩死刑的,至于是不是草菅人命,就要从临汾中院(2012)临刑初字第17号刑事判决引用的三十七份证据解析了,可能不难发现临汾中院以零证据方式判决李文浩犯故意杀人罪的答案。
第一组证据,证实马朝晖遭杀害的地点,死因及案发现场情况。
(1)现场勘验笔录及照片,能证明马朝晖被杀害的现场情况,不能证明系李文浩所为,没有涉及到李文浩是否杀人,不属于李文浩杀人与否的证据范围。(2)翼城县公安局尸检报告,能证明杀害马朝晖的手段极其残忍,但不能证明系李文浩所为,不属于李文浩杀人与否的证据范围。(3)临汾市公安局的尸检报告,能证明杀害马朝晖的手段极其残忍,但不能证明系李文浩所为,没有涉及到李文浩是否杀人无关,不属于李文浩杀人与否的证据范围。
第二组证据,证明案发时间及马朝晖家反映的异常情况。
(4)王玉林证言,说与马聊天,没有涉及到李文浩,与李文浩是否杀人无关,不属于李文浩杀人与否的证据范围。(5)李月兰证言,说听到马朝晖家一男的叫喊声“咋了”,还听见王建设家的狗叫,回到家看表10点刚过,没有涉及到李文浩,与李文浩是否杀人无关,不属于李文浩杀人与否的证据范围。(6)李娟证言,说马朝晖家有男女说话声,像是吵嘴,回房间看表时间为9:45分,没有涉及到李文浩,与李文浩是否杀人无关,不属于李文浩杀人与否的证据范围。(7)杜桂莲证言,说案发后听李娟说当晚他听到有人吵架及女人的声音,没有涉及到李文浩,与李文浩是否杀人无关,不属于李文浩杀人与否的证据范围。(8)都芸证言,说的和杜玉莲一致,没有涉及到李文浩,与李文浩是否杀人无关,不属于李文浩杀人与否的证据范围。(9)马朝新证言,说11点50左右在马朝晖家看见李慧和董昀在院子里站着,没有涉及到李文浩,与李文浩是否杀人无关,不属于李文浩杀人与否的证据范围。
第三组证据,证明案发期间李慧穿的衣服、裤子和鞋。
(10)胡克文证言,说李慧穿的什么衣服裤子和鞋,没有涉及到李文浩是否杀人,与李文浩是否杀人无关,不属于李文浩杀人与否的证据范围。(11)李文浩证言,说李慧穿衣服、裤子和鞋。没有涉及到李文浩,与李文浩是否杀人无关,不属于李文浩杀人杀人与否的证据范围。(12)张永红证言,说李慧当天穿的衣服、裤子和鞋。没有涉及到李文浩,与李文浩是否杀人无关,不属于李文浩杀人与否的证据范围。
第四组证据,证实案发时李慧就在现场。
(13)临汾市公安局(2005)64号检验报告,送检李慧的鞋,没有涉及到李文浩,与李文浩是否杀人无关,不属于李文浩杀人与否的证据范围。(14)山西省公安厅(2005)387号鉴定书,送检李慧的鞋,没有涉及到李文浩,与李文浩是否杀人无关,不属于李文浩杀人与否的证据范围。(15)山西省公安厅(2006)002号检验意见书,送检李慧的鞋,没有涉及到李文浩,与李文浩是否杀人无关,不属于李文浩杀人与否的证据范围。(16)李慧供述,没有涉及到李文浩,与李文浩是否存在杀人无关,不属于李文浩杀人与否的证据范围。
第五组证据,证明案发起因,以及李文浩、李慧杀害马朝晖,被告人董昀帮助伪造现场。
(17)被告人李文浩供述,根据《刑事诉讼法》第五十三条规定,没有证据加以证明的口供,不能作为杀人案的定案依据,加之,几份内容自相矛盾(见几份自相矛盾的讯问笔录),不属于李文浩是否杀人的证据范围。(18)李慧供述没有涉及到李文浩是否杀人的口供,根据《刑事诉讼法》第五十三条规定,没有证据加以证明的口供,不能作为杀人案的定案依据,加之,几份内容自相矛盾(见几份自相矛盾的讯问笔录),不属于李文浩是否杀人的证据范围。(19)董昀的供述,没有涉及到李文浩是否杀人的口供,根据《刑事诉讼法》第五十三条规定,没有证据加以证明的口供,不能作为杀人案的定案依据,加之,几份内容自相矛盾(见几份自相矛盾的讯问笔录),不属于李文浩是否杀人的证据范围。(20)办案民警朱平、崔伟伟、李晓强、杨庆生、高蛟生等五人证言,属于自证范围,不能证实李文浩、李慧、董昀是否被刑讯逼供,没有涉及李文浩是否杀人,与李文浩是否杀人无直接关系,不属于李文浩杀人与否的证据范围。
第六组证据,证实李文浩、李慧供述的作案经过,凶器情况。
(21)吴超证言,案发当天与妻子胡克文、杨李斌、高兴亮等人安装暖气,没有涉及到李文浩,与李文浩是否杀人无关,不属于李文浩杀人与否的证据范围。(22)杨李斌、高兴亮的证言,证明内容同上,没有涉及到李文浩,与李文浩是否杀人无关,不属于李文浩杀人与否的证据范围。(23)宋镪、彭志华、赵晓华三个人证言,证实董昀当晚去过太阳磁场酒吧,没有涉及到李文浩,与李文浩是否杀人无关,不属于李文浩杀人与否的证据范围。(24)马晓玲证言,证明10月1日在李慧家一、二楼打扫过卫生,同时证明刀具情况,没有涉及到李文浩,与李文浩是否杀人无关,不属于李文浩杀人与否的证据范围。(25)临汾市公安局(2006)临公足迹鉴字第01号鉴定书,证实送检的鞋印是董昀所留,没有涉及到李文浩,与李文浩是否杀人无关,不属于李文浩杀人与否的证据范围。
第七组证据,证实李文浩、李慧、董昀具有作案时间。
(26)证人李文涛的证言,证明当晚9点30分李文浩、李慧离开他家,没有涉及到李文浩,与李文浩是否杀人无关,不属于李文浩杀人与否的证据范围。(27)李文浩手机通话清单,证实李文浩10月2日21点37分-23点58分间无通话记录。这份证言与李文浩通话记录记载的10月2日21点37分零2秒通话80秒的事实不符,不是李文浩是否杀人的直接证据,不属于李文浩杀人与否的证据范围。(28)李慧手机通话清单记载10月2日21点28分-23点58分之间无电话,不属于李文浩的证据范围。(29)李慧家座机通话清单,证实主机9月30日之后通话记录不存在(并没有提供李慧的电话记录单),并未涉及到李文浩是否杀人问题,不属于李文浩杀人与否的证据范围。
第八组证据,证明案发后李慧、李文浩的异常表现。
(30)邓里证言,证明当天下雨,李慧衣服、鞋特别干净,没有涉及到李文浩,与李文浩是否杀人无关,不属于李文浩杀人与否的证据范围。(31)李深德证言,证明10月2日深夜李文浩回家说,李慧那边出事了,其浑身发抖,还说害怕(害怕有多种原因)。该证言也没有涉及到李文浩是否杀人,不属于李文浩的证据范围。(32)周青兰证言同李深德证言一致,没有涉及李文浩是否存在杀人行为,不属于李文浩杀人与否的证据范围。
第九组证据,证实现场曾发生并提取毛发,在侦查过程中毛发及相关照片丢失。
(33)张义、贾红生、吕龙、苏诗强证言,证实勘察现场及对尸体检验时,从马朝晖左手提取三根长度分别为10-20厘米、6-7厘米、4-5厘米的头发,没有涉及到李文浩,与李文浩是否杀人无关,不属于李文浩杀人与否的证据范围。(34)常小林供述,证实勘察现场及尸体提取的毛发、相关照片及底片在技术科保存期间丢失,没有涉及李文浩是否杀人,与李文浩是否杀人无关,不属于李文浩杀人与否的证据范围。
第十组证据,证实李翠仙的犯罪事实。
(35)张永红证言,证实10月2日晚上饭后李文浩与李慧离开,24时李文浩打电话称马朝晖出事了,没有涉及李文浩是否杀人,与李文浩是否杀人无关,不属于李文浩杀人与否的证据范围。(36)李翠仙供述,证实10月3日上午在刑警队录完口供后遇到张永红,没有涉及到李文浩是否杀人,与李文浩是否杀人无关,不属于李文浩杀人与否的证据范围。
第十一组证据,证实李文浩、李慧、董昀、李翠仙及马朝晖的身份情况。
(37)常住人口登记表、户籍证明,均未涉及到李文浩是否杀人,不属于李文浩的证据范围。
以上三十七份鉴定结论和证人证言,均未涉及到李文浩是否杀害马朝晖的事实,与李文浩是否杀害马朝晖无关,不属于李文浩故意杀人与否的证据范围。
所以通过临汾市中级人民法院使用的证据来看,足以充分证明李文浩是否犯罪为零证据、多口供。
各位网友春节好:研究李文浩杀人10年悬案不用懂法,他不是法律问题,我们认真核对一下判决书引用的37份证据内容就行。这37份证据没有一份证明李文浩杀人,说明李文浩杀人是零证据。零证据是绝不能判处被告人李文浩死刑的。
零口供可以判处被告人死刑。是因为有足够的证据证实被告人杀人,可被告人抵赖,不配合公安机关调查,不能做出真实的供述,人民法院应当根据证据定罪量刑,惩治犯罪。
另外。本案还有另一个怪圈,以前临汾中院两次一审采信的是临汾市公安局鉴定,对杀人现场血脚印结论,认为血脚印是李文浩所留(唯一证据),规避了李文浩申请公安部的重新鉴定结论。
这次临汾中院重审中,对这临汾市公安局的鉴定,公安部重新鉴定内容均未采信(零证据),奇怪的是也能判处李文浩死刑。

























核对一下自相矛盾讯问笔录的内容吧
李文浩被公安机关在绿园度假村“羁押”讯问10天,2006年2月23日之前没有认罪表现,所以辩护人没有引用。
李文浩2006年2月24日17时45分至2006年2月24日18时25分向公安机关供述“李慧开车到了她家门口,李慧按了几下车喇叭,然后马朝晖就出来开门”(见该笔录第2页上端)。
李文浩2006年3月3日19时55分至2006年3月3日23时50分向公安机关供述“我(李文浩)将车停在她家门口,按了两声喇叭”(见该笔录第3页中端)。
李文浩2006年3月6日22时10分至2006年3月6日23时50分向公安机关供述“我将车停在降源路东侧正对着她家北侧出来的路口,我俩走到她家大门口”(见该笔录第2页下端)。
大家认真核对一下,究竟是李文浩开车,还是李慧开车(自相矛盾)。
李文浩2006年2月24日17时45分至2006年2月24日18时25分向公安机关供述“当我走到快到大门时,马朝晖从家里追了出来,他左手还拿了一把刀”(笔录第2、3页上、下端)。
李文浩2006年3月3日19时55分至2006年3月3日23时50分向公安机关供述“为了以防不测,到了十字路口北侧的县信用联社的对面老城关供销社买了一把水果刀装入裤袋(笔录第2页中端)。另供述:“说着在李慧背部推了一把,我从口袋里掏出刀来对着他的背部靠下部位捅了两刀”(笔录第3页下端)。
李文浩2006年3月6日12时10分至2006年3月6日19时10分向公安机关供述“李慧跑进院子南房(厨房)拿出一把刀”(笔录第3页中端)。
我们核对一下李文浩向公安机关交代三把刀,究竟时哪把刀杀害了马朝晖呢?
李文浩2006年2月24日17时45分至2006年2月24日18时25分向公安机关供述““还朝他的会阴部捅了几刀,朝他脖子上砍了几刀”(笔录第3页下端)。
李文浩2006年3月3日19时55分至2006年3月3日23时50分向公安机关供述“我从口袋里掏出刀来对着他的背部靠下部位捅了两刀,马朝晖哎哟了一声”(笔录第3页下端)。另供述,“拿刀在他的脖子上猛砍,直到脖子快被剁下,又在其会阴部扎了几刀”(笔录第4页中端)。
李文浩2006年3月6日22时10分至2006年3月6日19时10分向公安机关供述“李慧蹲下用刀狠扎其会阴部,又猛砍脖子”(笔录第3页下端)。
李慧2006年3月5日15时01分至2006年3月5日17时15分向公安机关供述“问:马朝晖在客厅抽动时,你是怎么砍的马朝晖?答:我当时比较害怕,看到马朝晖没死,就胡乱砍,至于是砍的还是扎的我也记不清了(笔录第2页中端)。问:马朝晖的脖子上面刀伤是怎么砍的?答:我记得我和李文浩向楼梯抬马朝晖时脖子好像没刀伤(笔录第4页中端)。
法官同志,如果你们能把这几种口供统一起来,那就是胡编乱造。
根据以上多次口供存在自相矛盾之处,足以说明本案口供缺少排他性、唯一性,不能作为杀人案件的定案依据使用。可临汾市中级人民法院在判决书中,第17、18份所谓的证据,恰恰是使用了以上自相矛盾的口供,说明没有证据,是零证据。
如果临汾市中级人民法院不使用这两份自相矛盾的口供,更是对没有一份值得考虑李文浩杀人的证据了,真是零证据,零证判李文浩死刑,严重违反《刑事诉讼法》第五十三条规定,对一切案件的判处都要重证据,重调查研究,不轻信口供。只有被告人供述,没有其他证据的,不能认定被告人有罪和处以刑罚;没有被告人供述,证据确实、充分的,可以认定被告人有罪和处以刑罚。
证据确实、充分,应当符合以下条件:
(一)定罪量刑的事实都有证据证明;
(二)据以定案的证据均经法定程序查证属实;
(三)综合全案证据,对所认定事实已排除合理怀疑。。












.jpg)
.jpg)
.jpg)
.jpg)
.jpg)
